Artificial Intelligence Techniques for Brain MRI Image Classification for Cancer Detection Using Transformer and Group Parallel Axial Attention with Quantum Self-Attention: Trends and Challenges

Main Article Content

Celestine Imamverde

Abstract

Brain tumor detection using Magnetic Resonance Imaging (MRI) is a critical task in modern healthcare, where early diagnosis significantly improves patient survival rates. Artificial Intelligence (AI), particularly deep learning, has revolutionized this domain by enabling automated and accurate classification of brain tumors. Traditional Convolutional Neural Networks (CNNs) have shown promising performance; however, they are limited in capturing long-range spatial dependencies due to localized receptive fields.


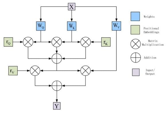
Recent advancements have introduced Transformer-based architectures that leverage self-attention mechanisms to model global contextual relationships within MRI images. Vision Transformers (ViTs) process images as sequences of patches, enabling efficient global feature extraction. Additionally, Group Parallel Axial Attention has emerged as an efficient alternative to conventional attention mechanisms by reducing computational complexity while preserving both local and global dependencies.


Furthermore, Quantum Self-Attention introduces a novel paradigm by incorporating quantum-inspired operations, enhancing feature representation and generalization capabilities. This paper presents a comprehensive review of AI techniques for brain MRI classification, focusing on trends between 2020 and 2023 and identifying key challenges. Comparative analysis reveals that hybrid CNN–Transformer and attention-based models achieve superior accuracy (often exceeding 98%), although challenges such as computational cost, data scarcity, and interpretability remain significant barriers.

Article Details

How to Cite
Imamverde , C. (2025). Artificial Intelligence Techniques for Brain MRI Image Classification for Cancer Detection Using Transformer and Group Parallel Axial Attention with Quantum Self-Attention: Trends and Challenges. International Journal on Advanced Computer Theory and Engineering, 14(2), 60–66. Retrieved from https://journals.mriindia.com/index.php/ijacte/article/view/1973
Section
Articles

Similar Articles

1 2 3 4 5 6 7 8 9 10 > >> 

You may also start an advanced similarity search for this article.